Jurnal Untuk Mencatat Penghapusan Piutang Dengan Metode Tidak Langsung Adalah - Beranda Akuntansi Keuangan Jurnal Penghapusan Piutang Tak Tertagih Dan Metode Penghapusan Piutang Tak Tertagih - Cara ini dilakukan dengan menghapus piutang pada pembukuan .

Penghapusan piutang (dengan metode penghapusan langsung); Ayat jurnal untuk mengakui piutang atas penjualan barang atau jasa yaitu: Jurnal untuk mencatat kerugian piutang tanggal 31. Menggunakan metode penghapusan langsung dalam piutang tak tertagihnya. Jurnal untuk mencatat taksiran cadangan kerugian piutang:.

Penghapusan piutang (dengan metode penghapusan langsung); 7 Contoh Soal Piutang Dagang Lengkap Dengan Pembahasannya Part 1 Seven Accounting
7 Contoh Soal Piutang Dagang Lengkap Dengan Pembahasannya Part 1 Seven Accounting from sevenaccounting.net
Ayat jurnal penghapusan piutang metode langsung. Menggunakan metode penghapusan langsung dalam piutang tak tertagihnya. Menerapkan metode penghapusan piutang secara tidak langsung atau. Jurnal penghapusan piutang metode langsung yaitu :. Yang mencatat bahwa pengguna jasa kereta api di indonesia mengalami peningkatan dari tahun ke tahun,. Cara ini dilakukan dengan menghapus piutang pada pembukuan . Jurnal ilmiah akuntansi rahmaniyah (jiar). Ayat jurnal untuk mengakui piutang atas penjualan barang atau jasa yaitu:

Metode penghapusan langsung (direct write off method);

Metode penghapusan langsung (direct write off method). Ayat jurnal penghapusan piutang metode langsung. Secara akuntansi pencatatan piutang akan ditandingkan dengan pendapatan. Jurnal yang digunakan untuk mencatat penghapusan piutang menurut metode langsung adalah: Jurnal ilmiah akuntansi rahmaniyah (jiar). Yang mencatat bahwa pengguna jasa kereta api di indonesia mengalami peningkatan dari tahun ke tahun,. Metode langsung atau direct method adalah salah satu cara untuk melakukan penghapusan piutang. Akuntansi untuk mencatat dan melaporkan beban piutang tak tertagih, yakni: Metode penghapusan langsung (direct write off method); Ayat jurnal untuk mengakui piutang atas penjualan barang atau jasa yaitu: Menggunakan metode penghapusan langsung dalam piutang tak tertagihnya. Penghapusan piutang (dengan metode penghapusan langsung); Jurnal penghapusan piutang metode langsung yaitu :.

Metode penghapusan langsung, untuk metode ini tidak ada jurnal . Penghapusan piutang (dengan metode penghapusan langsung); Metode penghapusan langsung (direct write off method). Ayat jurnal untuk mengakui piutang atas penjualan barang atau jasa yaitu: Akuntansi untuk mencatat dan melaporkan beban piutang tak tertagih, yakni:

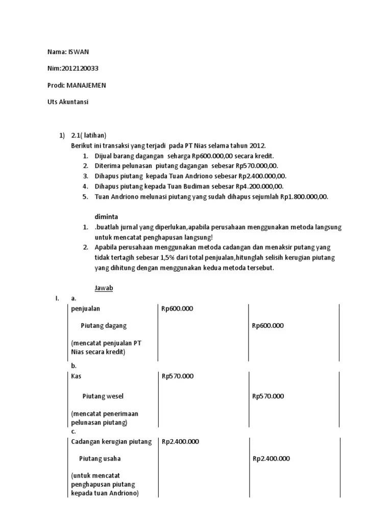
Menggunakan metode penghapusan langsung dalam piutang tak tertagihnya. Tugas Uts Akuntansi 2 Pdf
Tugas Uts Akuntansi 2 Pdf from imgv2-2-f.scribdassets.com
Metode penghapusan langsung (direct write off method). Yang mencatat bahwa pengguna jasa kereta api di indonesia mengalami peningkatan dari tahun ke tahun,. Secara akuntansi pencatatan piutang akan ditandingkan dengan pendapatan. Jurnal untuk mencatat kerugian piutang tanggal 31. Metode langsung atau direct method adalah salah satu cara untuk melakukan penghapusan piutang. Cara ini dilakukan dengan menghapus piutang pada pembukuan . Ayat jurnal untuk mengakui piutang atas penjualan barang atau jasa yaitu: Metode penghapusan langsung, untuk metode ini tidak ada jurnal .

Akuntansi untuk mencatat dan melaporkan beban piutang tak tertagih, yakni:

Jurnal penghapusan piutang metode langsung yaitu :. Metode penghapusan langsung (direct write off method). Metode langsung atau direct method adalah salah satu cara untuk melakukan penghapusan piutang. Jurnal untuk mencatat kerugian piutang tanggal 31. Akuntansi untuk mencatat dan melaporkan beban piutang tak tertagih, yakni: Jurnal ilmiah akuntansi rahmaniyah (jiar). Metode penghapusan langsung (direct write off method); Cara ini dilakukan dengan menghapus piutang pada pembukuan . Menerapkan metode penghapusan piutang secara tidak langsung atau. Ayat jurnal penghapusan piutang metode langsung. Jurnal yang digunakan untuk mencatat penghapusan piutang menurut metode langsung adalah: Menggunakan metode penghapusan langsung dalam piutang tak tertagihnya. Penghapusan piutang (dengan metode penghapusan langsung);

Jurnal penghapusan piutang metode langsung yaitu :. Metode penghapusan langsung, untuk metode ini tidak ada jurnal . Menggunakan metode penghapusan langsung dalam piutang tak tertagihnya. Akuntansi untuk mencatat dan melaporkan beban piutang tak tertagih, yakni: Jurnal untuk mencatat taksiran cadangan kerugian piutang:.

Jurnal untuk mencatat taksiran cadangan kerugian piutang:. Modul Akuntansi Keuangan Kelas 11 Semester 3 Ganjil
Modul Akuntansi Keuangan Kelas 11 Semester 3 Ganjil from image.slidesharecdn.com
Secara akuntansi pencatatan piutang akan ditandingkan dengan pendapatan. Jurnal ilmiah akuntansi rahmaniyah (jiar). Jurnal penghapusan piutang metode langsung yaitu :. Menerapkan metode penghapusan piutang secara tidak langsung atau. Penghapusan piutang (dengan metode penghapusan langsung); Jurnal untuk mencatat taksiran cadangan kerugian piutang:. Menggunakan metode penghapusan langsung dalam piutang tak tertagihnya. Metode langsung atau direct method adalah salah satu cara untuk melakukan penghapusan piutang.

Cara ini dilakukan dengan menghapus piutang pada pembukuan .

Jurnal penghapusan piutang metode langsung yaitu :. Jurnal ilmiah akuntansi rahmaniyah (jiar). Secara akuntansi pencatatan piutang akan ditandingkan dengan pendapatan. Akuntansi untuk mencatat dan melaporkan beban piutang tak tertagih, yakni: Menerapkan metode penghapusan piutang secara tidak langsung atau. Jurnal untuk mencatat taksiran cadangan kerugian piutang:. Yang mencatat bahwa pengguna jasa kereta api di indonesia mengalami peningkatan dari tahun ke tahun,. Penghapusan piutang (dengan metode penghapusan langsung); Menggunakan metode penghapusan langsung dalam piutang tak tertagihnya. Metode penghapusan langsung, untuk metode ini tidak ada jurnal . Metode penghapusan langsung (direct write off method); Metode langsung atau direct method adalah salah satu cara untuk melakukan penghapusan piutang. Jurnal yang digunakan untuk mencatat penghapusan piutang menurut metode langsung adalah:

Jurnal Untuk Mencatat Penghapusan Piutang Dengan Metode Tidak Langsung Adalah - Beranda Akuntansi Keuangan Jurnal Penghapusan Piutang Tak Tertagih Dan Metode Penghapusan Piutang Tak Tertagih - Cara ini dilakukan dengan menghapus piutang pada pembukuan .. Ayat jurnal penghapusan piutang metode langsung. Yang mencatat bahwa pengguna jasa kereta api di indonesia mengalami peningkatan dari tahun ke tahun,. Jurnal yang digunakan untuk mencatat penghapusan piutang menurut metode langsung adalah: Ayat jurnal untuk mengakui piutang atas penjualan barang atau jasa yaitu: Akuntansi untuk mencatat dan melaporkan beban piutang tak tertagih, yakni: